机器学习入门-03线性模型
第3章 线性模型
参考:《机械学习第1版第47次印刷-周志华著》、https://www.datawhale.cn/learn/content/2/65
西瓜书代码实战:https://github.com/datawhalechina/machine-learning-toy-code/blob/main/%E8%A5%BF%E7%93%9C%E4%B9%A6%E4%BB%A3%E7%A0%81%E5%AE%9E%E6%88%98.md
自己记录与总结常见矩阵:https://jiangsanyin.github.io/2025/07/17/%E7%BA%BF%E6%80%A7%E4%BB%A3%E6%95%B0-%E5%B8%B8%E8%A7%81%E7%9F%A9%E9%98%B5/
自己记录与总结二次型:https://jiangsanyin.github.io/2025/07/22/%E7%BA%BF%E6%80%A7%E4%BB%A3%E6%95%B0-09-%E4%BA%8C%E6%AC%A1%E5%9E%8B/
3.1 基本形式
以下内容如无特别说明,向量都是列向量。即w=(w1;w2;...;wd)和x=(x1;x2;...;xd)均为d行1列的列向量。
3.2 线性回归
给定数据集D={(x1,y1), (x2,y2), ... , (xm,ym)},其中xi=(xi1, xi2, ..., xid),yi∈R。
线性回归(linear regression)就是要觉得一个线性模型以尽可能准确地预测实值输出标记。
线性回归经常用到的一类算法就是最小二乘法,但最小二乘法不仅限于线性回归。
如果要将线性回归模型的的预测值逼近真实值y的衍生物,比如㏑y ,此时即有㏑y = wTx+b,此模型称为对数线性回归。
更一般地情况,对于连续可微函数g(·),令y=g-1(wTx+b),此时得到的模型称为广义线性模型,其中函数g(·)称为联系函数。可以知道,对数线性回归模型就是广义线性模型在g(·)=㏑(·)时特例。
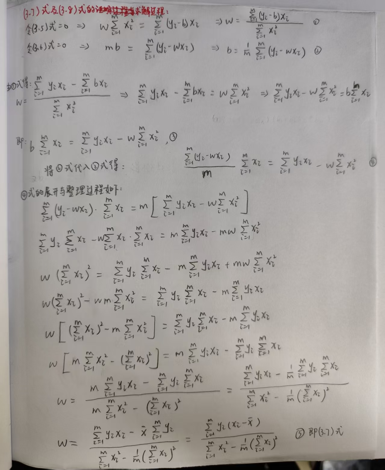
(3.7)式与(3.8)式的求解过程如下:
3.3 对数几率回归
对数几率函数: \[ y=\frac{1}{1+e^{-z}} \] 对数几率模型: \[ y=\frac{1}{1+e^{-(\mathbf{w}^T\mathbf{x}+b)}}\\ \] 对数几率: \[ y=\ln{\frac{y}{1-y}} \]
对率回归最大化“对数似然”,表达式变化的相关推导(其中相关说明在图片之前进行了说明):
\[
\begin{aligned}
\mathbf{β}=(\mathbf{w};b) \\
\mathbf{\hat{x}}=(\mathbf{x};1) \\
\text{这样,就可以将}\mathbf{w}^T\mathbf{x}+b
\text{改写成}\mathbf{β^T}\mathbf{\hat{x}} \\
\end{aligned}
\] 
3.4 线性差别分析
均值向量
定义:均值向量(Mean Vector)提供了数据集中每个特征的平均值。对于 \[ \begin{flalign*} μ=[μ_1,μ_2,...,μ_m] \\ 其中μ_j=\frac{1}{n}\sum_{i = 1} ^m(x_{ij}) \\ μ_j是第j个特征的均值。 \\ x_{ij}是第i个观测的第j个特征值。\\ n是观测值的数量。 \end{flalign*} \] 举例如下: \[ \begin{flalign*} 考虑身高和体重的数据集,包含4个观测值:\\ 身高: [160,165,170,175]\\ 体重: [55,60,65,70]\\ 平均身高: μ_{\text{身高}} = \frac{160 + 165 + 170 + 175}{4} = 167.5 \\ 平均体重: μ_{\text{体重}} = \frac{55 + 60 + 65 + 70}{4} = 62.5 \\ 因此,均值向量为: μ = [167.5, 62.5] \end{flalign*} \]
协方差矩阵:
定义:协方差矩阵(Covariance Matrix)描述了数据集中特征间的相互变化趋势。它不仅展示了单个特征的变异性(通过方差),还显示了特征之间的协方差。
对于m个特征,协方差矩阵是一个m×m矩阵,其中元素定义为: \[ \begin{flalign*} ∑_{jk}=\frac{1}{n-1}\sum_{i = 1} ^n(x_{ij}-μ_j)(x_{ik}-μ_k) \\ 其中:Σ_{jk}是特征j和特征k之间的协方差。\\ μ_j和μ_k分别是特征j和k的均值。\\ n是观测值的数量。\\ \end{flalign*} \] 举例:使用上述身高和体重数据计算协方差矩阵。 \[ \begin{flalign*} \text{首先,我们已知:}\\ μ_{\text{身高}} = 167.5\\ μ_{\text{体重}} = 62.5\\ \\ \text{计算方差和协方差:}\\ \text{方差(身高): 使用公式计算得} \Sigma_{11} \\ \text{方差(体重): 使用公式计算得} \Sigma_{22} \\ \text{协方差(身高, 体重): 使用公式计算得} \Sigma_{12}、\Sigma_{21} \\ \\ \text{数据集:} \text{X=}\left[ \begin{matrix} 160 & 55 \\ 165 & 60 \\ 170 & 65 \\ 175 & 70 \end{matrix} \right] \\\\ \end{flalign*} \]
\[ \begin{flalign*} &(1)当j=1、k=1时,\Sigma_{11}=\frac{1}{4-1}[(160-167.5)^2+(165-167.5)^2+(170-167.5)^2+(175-167.5)^2]=\frac{125}{3}=41.67\\ &(2)当j=1、k=2时,\Sigma_{12}=\frac{1}{4-1}[(160-167.5)(160-62.5)+(165-167.5)(165-62.5)+(170-167.5)(170-62.5)+(175-167.5)(175-62.5)]=\frac{125}{3}=41.67\\ &(3)当j=2、k=1时,\Sigma_{21}=\frac{1}{4-1}[(55-62.5)(55-167.5)+(60-62.5)(60167.5)+(65-62.5)(65-167.5)+(70-62.5)(70-167.5)]=\frac{125}{3}=41.67\\ &(4)当j=2、k=2时,\Sigma_{22}=\frac{1}{4-1}[(55-62.5)^2+(60-62.5)^2+(65-62.5)^2+(70-62.5)^2]=\frac{125}{3}=41.67\\ \end{flalign*} \]
\[ \begin{flalign*} 经过上述计算,得到协方差矩阵如下:\\ C=\left[ \begin{matrix} 41.67 & 41.67 \\ 41.67 & 41.67 \end{matrix} \right]\\ \end{flalign*} \]
1 | |
线性判别分析过程
\[
\begin{aligned}
& 给定数据集D=\{(x_i, y_i)\}_{i=1}^m, 其中y_i∈\{0,1\} \\
&
令X_i、μ_i、Σ_i分别表示第i∈\{0,1\}类示例的集合、均值向量、协方差矩阵。\\
&
若将数据投影到直线ω上,则两类样本的中心在直线上的投影分别为ω^Tμ_0和ω^Tμ_1;\\
&
若将所有样本点都投影到直线上,则两类样本的协方差分别为ω^TΣ_0ω和ω^TΣ_1ω。
\\
&
且由于直线是一维空间,所以ω^Tμ_0、ω^Tμ_1、ω^TΣ_0ω和ω^TΣ_1ω均为实数。
\end{aligned}
\] 
问题
(1)如何证明矩阵Sω 一定可逆?或可构造何条件使其可逆?
(自己暂不知道证明!)
(2)暂时不理解类内散度矩阵、类间散度矩阵的意义
3.5 多分类学习
一般情况下,我们可以利用二分类学习器来解决多分类问题。
一般地,如果有N个分类:C1,C2, ..., CN,多分类 学习的基础思路是拆解法,即将多分类任务拆成若干个二分类任务进行求解。即训练时,对问题进行拆分,然后为拆分的每个二分类任务训练得到一个分类器;在测试时,这前面得到的多个分类器的预测结果进行综合与集成 ,获取最终的多分类结果。 此处的关键在于如何对多分类任务进行拆分、如何对多个分类器的结果进行集成。
常用的拆分策略有三种:一对一(One vs. One,简称OvO)、一对其余(One vs. Rest,简称OvR)、多对多(Many vs. Many,简称MvM)
3.6 类别不平衡问题
在类别不平衡时,常规的训练与测试方法已经失效或无意义,此时常采用《机械学习第1版第47次印刷-周志华著》2.3节中的查准率、查全率和F1来度量学习器的性能。